The Good, the Bad, and the Rock Fights: Cal vs. Virginia 2025
Just in time for Halloween weekend, a notorious losing streak is back from the dead.
Welcome back to The Good, the Bad, and the Rockfights, our weekly attempt to simplify and make sense of what unfolded on the field during the previous weekend. A couple weeks ago we celebrated the end of the Rockfight losing streak when Cal defeated North Carolina. However, PFF often updates each game’s grades over the course of the week (usually corrections are by less than 1 point in either direction), and the UNC game was rather heavily revised (a few grades moved between 3 and 10 points). The following week it was subsequently reclassified as a Bizarro Game. This brought the Rockfight losing streak back from the dead and, rather appropriately for Halloween weekend, this zombie losing streak made another appearance on the field on Saturday.
PFF Grades
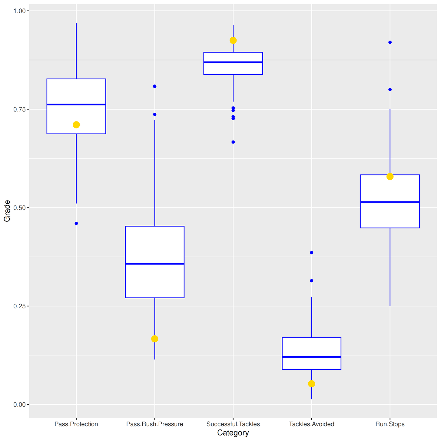
PFF’s panopticon evaluated every player on every snap and consolidated those grades into the following team-level grades:

Anything above the box is a top 25% performance and anything below the box is a bottom 25% performance; 7 (almost 8) of the categories were outside the box, so this one had some strong grades. Unfortunately for the offense, all those outside-the-box grades were negative. Running and Run Blocking received awful grades while Pass Protection and Receiving’s sub-par grades could not offset Passing’s strong grade. As a result, the Offense grade was right at the 25th percentile.
Defensively, things were much better. Other than a mediocre pass rush, everything on defense earned strong grades, with most being above the 75th percentile. With bad offense and strong defense, this one is obviously going to end up in the Rockfight category.
PFF Clusters
I fed the results into our classifier and here’s where it assigned this game:

It put the UVA game nearly in the middle of the Rockfights, suggesting that this was a prototypical Rockfight. And rather typically of recent teams, this Rockfight was a loss. Cal remains winless in Rockfights since defeating UC Davis in 2022 and winless against P4/5 teams since September 2019. Once defined by Rockfights, the Wilcox Era may be coming to an end soon. Not many chances remain to break that losing streak…
Odds and Ends
Offensive player of the week: WR Trond Grizell, 70.2
Defensive player of the week: ILB Harrison Taggart, 90.9 (!). This is one of the highest grades we have seen this season.
Iron men [played every snap]: LG Jordan Spasojevic-Moko, C Tyson Ruffins, RT Leon Bell, CB Zeke Masses, S Cam Sidney
Pass Protection: Cal surrendered 11 pressures (4 sacks, 2 hits, 5 hurries) on 38 pass plays for a worse-than-usual protection rate of 71.1%.
Pass Rush: Cal forced 7 pressures (3 sacks, 1 hit, 3 hurries) on 42 pass plays for a woeful pass rush rate of 16.7%.
Tackling: Cal missed 6 tackles on 80 plays for a superb tackling rate of 92.5%.
Shake and Bake: Cal avoided only 3 tackles on 57 plays for a terrible rate of 5.3%.
Run Stops: Cal stopped 22 of UVA’s 38 runs for a solid rate of 57.9%. This particularly impressive given UVA’s stellar running game so far this season.
We’ll see what unfolds this week in Louisville…




The good: cool trick plays
The bad: our defensive and offensive front both suck
L’vul’s star RB Isaac Brown out for Saturday’s game? https://www.espn.com/college-football/story/_/id/46833921/louisville-top-rusher-isaac-brown-leg-injury