The Money Outlook: what is Cal's current budget reality?
And what does it mean for different parts of the athletic department?
Last week we broke down Cal’s response to the House settlement, and how that decision was probably intertwined with the departure of Jim Knowlton. Kevin Kennedy, President and Executive Director of Cal Legends, confirmed that Cal will be distributing revenue to athletes at the following levels:
Cal has committed to a 75/15/5/5 model in splitting up this $20.5m. This means that 75% of the money will go to football, 15% to Men's Basketball, 5% to WBB and 5% to the other sports (combined).
As Mr. Kennedy notes, this is (so far) the standard model for the average power conference athletic department.
Cal, however, is not your average power conference athletic department - at least not budgetarily. While the albatross of Memorial Stadium retrofit financing debt is no longer (fully) around Cal’s neck, the revenue situation for the athletic department is still deeply unhealthy for a different reason: the collapse of the Pac-12.
When the Pac-12 collapsed and Cal was left to scramble to find a home, the Bears were forced to accept junior revenue status with the ACC. At the time, that meant accepting 30% of a full share of ACC revenue through 2031.
But because nothing in the world of college sports can ever be simple, even that relatively straight-forward agreement isn’t the final word. Remember when this website had a long running series about Florida State and Clemson suing the ACC? Well, those posts stopped because the courtroom proceedings ended and the two sides agreed to negotiate.
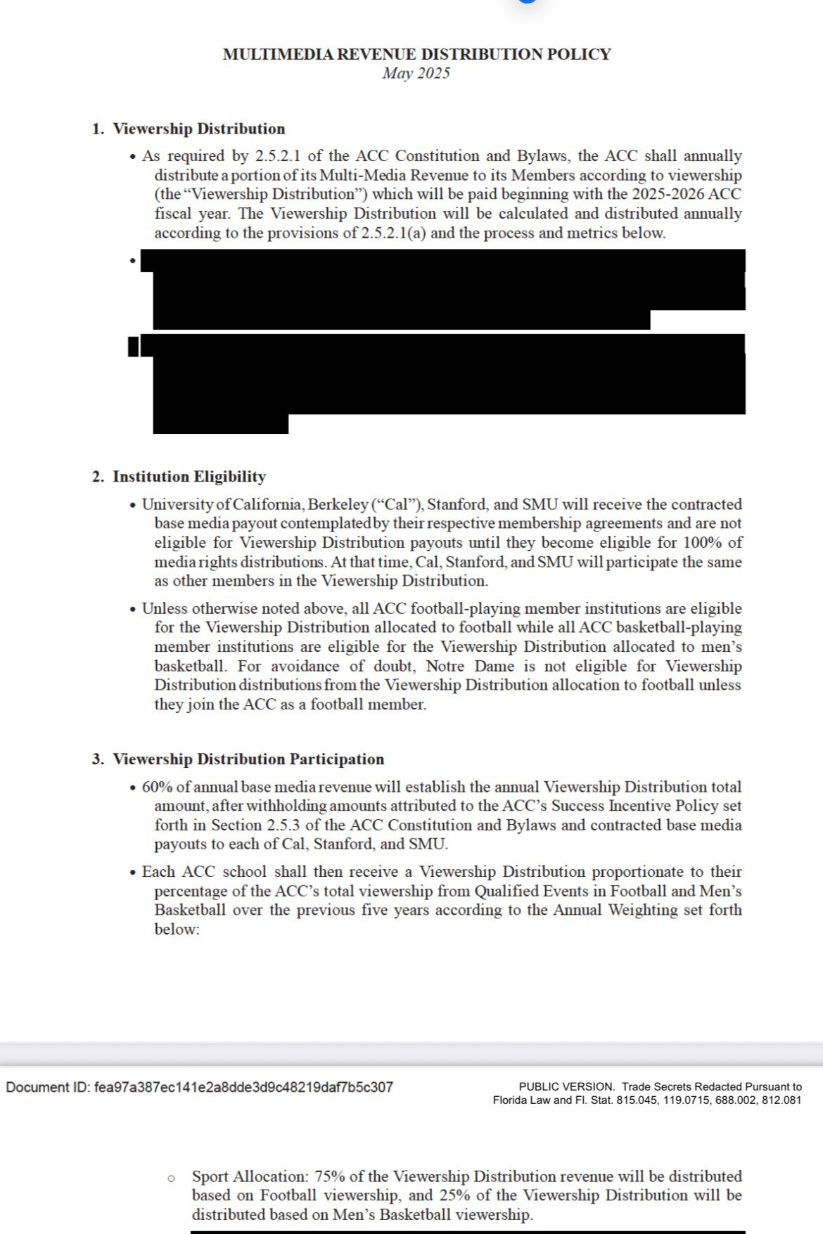
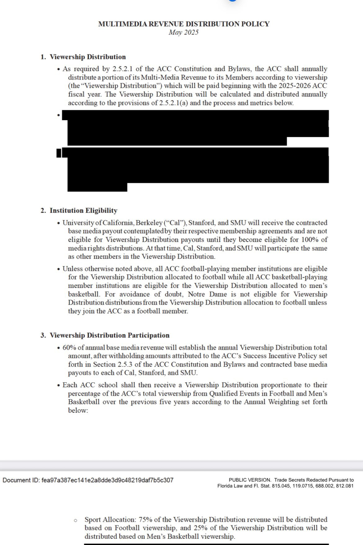
Well, those negotiations have resulted in a settlement. The good (I think?) news is that Clemson and Florida State will continue to be in the ACC. The bad news is that the price tag for leaving the conference has gone down, though for any individual school it never drops below $75 million. The confusing news is a unique revenue distribution model:
The notable change is with revenue from the league’s multimedia contracts. The first 40 percent of that money from sources will be split evenly among the schools. Of the remaining 60 percent, three-quarters will be distributed based on football TV viewership, and one-quarter will be based on men’s basketball viewership. Other details were redacted and claimed as trade secrets.
TRADE SECRETS! I have not seen any reporting anywhere explaining how Cal (and Stanford/SMU) are impacted considering our less-than-full-member status. Does Cal get 30% of what we would have received for whatever our viewership ends up being? I’m pretty confident that anything Clemson and Florida State negotiated will do no favors to a University that they never wanted to let into the conference and has all of zero leverage with the conference.
EDIT: Matt Baker, a reporter with The Athletic, posted this contract excerpt on Twitter:
The implication of this section is that Cal will continue to receive exactly as much in media rights payouts now as they would have under the old contract, but I am very much not a lawyer nor a contracts analyst, so take that with a grain of salt.
(I’m just going to set aside the observation that this revenue model sets up the perverse incentive for fans to ONLY watch their own team play, and purposely boycott their conference rivals. Every time you turn on a Clemson or a Florida State game, you are funding their exit from the conference!)
It’s impossible to put a ton of precision towards a conclusion about Cal’s money situation (let alone exact figures, since Cal’s most recent limited public fiscal reporting is a year old), but I think we can make a couple of statements with reasonable confidence:
Cal is on the lower end in revenue amongst power conference programs
Cal has very publicly stated its intention to compete in revenue sports by fully participating in revenue sharing, with a standard distribution model focusing on the sports that make the most revenue, as noted above.
Cal continues to maintain one of the largest athletic departments in the country, as measured by total sports programs.
These three facts lead me to the following two conclusions:
Cal’s revenue programs will have enough institutional support to succeed or fail on their own non-monetary merits.
Cal’s Olympic sports must either become fully endowed, or face massive structural barriers to success.
We’ll need time to determine if that first conclusion is accurate. As for that second conclusion . . . well, if you’re a close follower of Cal Olympic Sports and you watched a Cal baseball portal exodus, or Cal’s women’s gymnastics coaches leave for higher pay at Clemson, or if you just happen to pay attention to Director’s Cup standings, you have probably already reached that pessimistic conclusion on your own.
Cal is still awesome at aquatic sports and rugby . . . and not coincidentally, those sports are well endowed. The choice for every non-revenue program on campus seems clear: either become fully endowed, or watch as richer programs lure away talent on an annual basis. That’s the reality when you are competing with programs who simultaneously make significantly more money while also running fewer programs.
It’s hard to reach any other conclusion when one of Cal’s most successful programs loses its coaching staff to a program that didn’t exist four years ago. In essence, it’s going to be extraordinarily hard for Cal to compete in any non-revenue sport that the B1G and/or SEC cares about. Volleyball, softball, baseball, women’s gymnastics, track and field . . . barring massive donor investment, those programs are operating at a disadvantage.
I don’t know how Cal will confront this reality in the long term. A central campus that is willing to spend money to support Olympic Sports? Increased donor activity to support Olympic Sports? Cal cutting certain sports that are simply unable to compete at the ACC level? There’s simply way too much uncertainty about short and long term economic and political climate at the local, state, and national level for me to even begin to guess.
It’s going to be a big challenge for whomever Cal picks to become the new athletic director. And, to be frank, here’s to hoping that Cal finds somebody to run the program quickly . . . someone who wasn’t a major part of the failings of the old athletic department.



I am eternally grateful that people like Nick Kranz have both the bandwidth and the interest to follow important but arcane topics such as the finances of the University of California athletic programs. As a long ago graduate (History, ‘81) and present-day anti-recidivist and hay rancher, I contribute what I can, but, in general, throw up my metaphorical hands and try to enjoy the games.
Sadly, several programs, particularly in the more competitive sports elsewhere, are heading toward the fate of Cal (Women's) Lacrosse, where Cal has not had a competitive team since that program was added (it's the second newest program but Beach Volleyball is a top-10 program). Casual Cal fans possibly don't even realize that the program exists.
To me, the Women's Gymnastics and Track and Field Throwing coaches leaving Cal fall into a different category, as those coaches have earned the opportunity to be paid top money in their sport. The more concerning thing is that Cal can't (or won't) offer a competitive wage to possibly lure a more established head coach for the current Softball opening or with the Volleyball vacancy last year. Other than coaching, student athletes in these sports also do get NIL money from other schools.