The Good, the Bad, and the Rock Fights: Cal at Boston College 2025
On our way to a Rockfight until a wild 4th quarter broke out
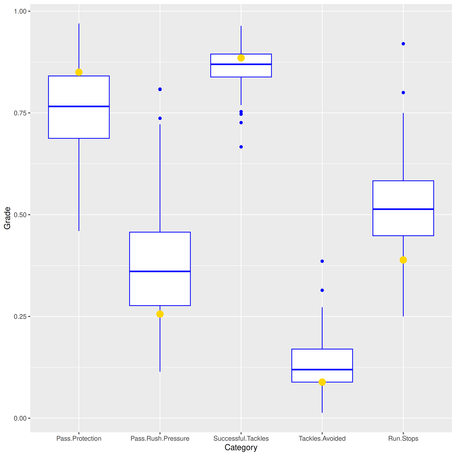
Welcome back to The Good, The Bad, and The Rockfights, our weekly attempt to make sense of the previous weekend’s game. As usual, our friends at Pro Football Focus graded the team across twelve categories, and we used those grades to put the game into one of five buckets. First, a look at Saturday’s grades:
PFF Grades

Only three of the twelve categories are better than usual: receiving, pass rush, and coverage. Defense was exactly middling. And everything else was worse than usual, with pass protection, run blocking, and run defense earning bottom-25th-percentile grades. PFF did not think it was a good day for the O-line (I thought they did a good job in picking up BC’s blitzes, but perhaps there is more nuance in their individual player grades than I noticed while watching the game live).
Games like this are why we run this weekly series—there’s an odd mix of grades here. It’s mostly between middling and bad, although there were a few bright spots. But some fundamental aspects of the team’s performance—run blocking and pass blocking—clearly held back the team. So what does our algorithm think of the game?
PFF Clusters
I put the results into our classifier and…

BIZARRO GAME. Our newest and strangest category, Bizarro Games capture games where some things go right, but some critical fundamentals (usually blocking and/or tackling) often go wrong. The plot above groups similar games together (which forms the basis for building the larger clusters), and Saturday’s game was most similar to the 2024 game at Pitt, another game where the Bears fell behind by double digits and rallied back. Fortunately this one did not end in an excruciating missed field goal. It was no less stressful, however…
Odds and Ends
Offensive Player of the Game: WR Jordan King, 70.5
Defensive Player of the Game: CB Jasiah Wagoner, 78.2
Iron Men: QB Jaron-Keawe Sagapolutele, RT Leon Bell, RG Sioape Vatikani, C Tyson Ruffins, LG Jordan Spasojevic-Moko, LT Frederick Williams III, TE Mason Mini, S Aiden Manutai, LB Cade Uluave. This marks the first time the entire O-line has earned the award. Perhaps the team is finally establishing some continuity on the line.
Pass protection: 6 pass rushes (3 hits, 3 hurries) on 40 pass protections, for a better-than-usual rate of 85%. I’m still having difficulty reconciling this stat with PFF’s poor grade for pass protection. [Programming note: I have changed this and the tackling stat so that higher numbers correspond to better performances. This should make interpretation of the plot below slightly more intuitive.]
Pass rush: 11 pass rushes (1 sack, 3 hits, 7 hurries) on 43 pass protections, for a rate of 25.6%. Not great.
Tackling: 7 missed tackles on 61 snaps, a better-than-normal rate of 11.5%.
Shake and Bake: 7 tackles evaded on 79 snaps, for a worse-than-usual rate of 8.9%. Once again, the Bears missed more tackles than they evaded.
Run Stops: 7 stops on 18 runs, a much-worse-than-usual rate of 38.9%. Cal’s inability to stop the run game consistently was offset by BC’s prioritization of their passing game.

That was an odd game with three distinct chapters: BC’s fast start, Cal’s offensive and defensive success in Q2 and Q3, and a wild 4th quarter. With a schedule full of coin-flip games, get used to more games like this over the season. Hopefully you have your cardiologist on speed dial.



I really enjoy these posts. Thank you.
Pass pro looked good and I don’t think JKS was sacked. How were the o line grades that bad? Also surprised trond isn’t higher he seems to win all the high point 50-50 balls.